一个程序应包括:
对数据的描述。在程序中要指定数据的类型和数据的组织形式,即数据结构。
对数据的描述。即操作步骤,也就是算法。
所以程序 = 算法 + 数据结构
什么是算法
算法(Algorithm)是指解题方案的准确而完整的描述,是一系列解决问题的清晰指令,算法代表着用系统的方法描述解决问题的策略机制。也就是说,能够对一定规范的输入,在有限时间内获得所要求的输出。如果一个算法有缺陷,或不适合于某个问题,执行这个算法将不会解决这个问题。不同的算法可能用不同的时间、空间或效率来完成同样的任务。一个算法的优劣可以用空间复杂度与时间复杂度来衡量。
算法中的指令描述的是一个计算,当其运行时能从一个初始状态和(可能为空的)初始输入开始,经过一系列有限而清晰定义的状态,最终产生输出并停止于一个终态。一个状态到另一个状态的转移不一定是确定的。随机化算法在内的一些算法,包含了一些随机输入。
简单的算法举例
例1:求1 + 2 + 3 + 4 + 5 的和
代码实现
#include <stdio.h>
int main() {
int sum = 0;
for (int i = 1; i <= 5; i++) {
//部分老版本编译器不支持for里面定义
sum = sum + i;
}
printf("1 + 2 + 3 + 4 + 5 = %d\n", sum);
return 0;
}
例2:求5!的值
代码实现
#include <stdio.h>
int main() {
int fac = 1;
for (int i = 2; i <= 5; i++) {
fac = fac * i;
}
printf("1 * 2 * 3 * 4 * 5 = %d\n", fac);
return 0;
}
算法的特性
一个算法应该具有以下五个重要的特征:
有穷性
算法的有穷性是指算法必须能在执行有限个步骤之后终止;
确切性
算法的每一步骤必须有确切的定义,而不能是含糊的、模棱两可的;
输入项
一个算法有0个或多个输入,以刻画运算对象的初始情况,所谓0个输入是指算法本身定出了初始条件;
输出项
一个算法有一个或多个输出,以反映对输入数据加工后的结果。没有输出的算法是毫无意义的;
可行性
算法中执行的任何计算步骤都是可以被分解为基本的可执行的操作步骤,即每个计算步骤都可以在有限时间内完成(也称之为有效性)。
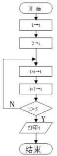
流程图
一般我们会使用流程图去表示一个算法。

下面我们给出求5!的流程图

顺序结构流程图

选择结构流程图


循环结构流程图


三种基本结构的共同特点:
1、只有一个入口
2、只有一个出口
3、结构内的每...
了解程序和算法
登录后开始许愿
#include<bits/stdc++.h>;
using namespace std;
int main(){
int fac=1;
for(int i=2;i<6;i++){
fac=fac*i;
}
printf("%d\n",fac);
return 0;
}
华南师范大学人工智能专业补录100个!!!!
#include<stdio.h>
int main()
{
int sum = 0;
for(int i=1;i<=5;i++){
sum+=i;
}
printf("1+2+3+4+5=%d\n",sum);
return 0;
}
#include<stdio.h>
//求5!的值
int main(){
int ji=1;
for(int i=2;i<6;i++){
ji=ji*i;
}
printf("5!的值是%d\n",ji);
}
#include<stdio.h>
int main(){
int result=0;
for(int i=1;i<=5;i++)
result=result+i;
printf("%d",&result);
return 0;}
#include <stdio.h>
int main() {
int fac=1;
for(int i=1 i<=5 i++){
fac=fac+i
}
printf("1*2*3*4*5=%d\n",fac);
return 0;
}
#include <stdio.h>
int main() {
int sum =0;
for (int i=1 i<=5 i++){
sum=sum+i;
}
printf ("1+2+3+4+5=%d/n,sum")
return 0;
}