磁盘是由表面涂有磁性物质的金属或塑料构成的圆形盘片,通过一个称为磁头的导体线圈从磁盘中存取数据。在读/写操作期间,磁头固定,磁盘在下面高速旋转。每个盘面对应一个磁头,磁臂可以沿着半径方向移动。磁盘上的一系列同心圆称为磁道,磁道沿径向又分成大小相等的多个扇区,盘片上与盘片中心有一定距离的所有磁道组成了一个柱面。因此,磁盘上的每个物理块可以用柱面号、磁头号和扇区号表示。

磁盘驱动器

磁盘的数据布局
对于磁盘,可以从不同的角度进行分类。将磁盘分成硬盘和软盘、单片盘和多片盘、固定头磁盘和活动头(移动头)磁盘等。下面仅对固定头磁盘和移动头磁盘做些介绍:磁头相对于盘片的径向方向固定的,称为固定头磁盘,每个磁道一个磁头;磁头可移动的,称为活动头磁盘,磁头臂可来回伸缩定位磁道。
1.磁盘结构中的信息
①引导控制块:通常为分区的第一块,若该分区没有操作系统,则为空。
②分区控制块。其中包括分区的详细信息,如分区的块数、块的大小、空闲块的数目和指针等。
③目录结构。采用目录文件组织。
④文件控制块。其中包括文件的信息,如文件名、拥有者、文件大小和数据块位置等。
2.磁盘的访问时间
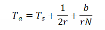
磁盘的访问时间Ta表示为:访问时间=寻道时间+旋转延迟+传输时间
(1)寻道时间Ts
磁盘接收到读指令后,磁头从当前位置移动到目标磁道位置,所需时间为寻道时间Ts。该时间是启动磁臂的时间s与磁头移动n 条磁道所花费时间的总和,m 为每移动一个磁道所需时间,即
Ts = m×n+s
式中,m 为常数,与磁盘驱动器的速度有关,通常题目会给出,约为0.2ms。若题目没有给出磁臂的启动时间,则忽略不计(为了简化计算,总是被忽略)。
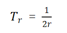
(2)旋转延迟Tr
旋转磁盘、定位数据所在的扇区所需的时间为旋转延迟Tr。设磁盘的旋转速度为r,则

这里Tr的物理意义就是磁盘旋转半周的时间,通常题目的问法是“每个磁道读取1个随机分布的扇区",正因为这个“随机”,所以取旋转长度的平均期望值,也就是半周,所以平均旋转延迟就是磁盘旋转半周的时间。
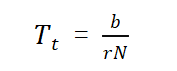
(3)传输时间Tt
从磁盘上读取数据的时间为传输时间Tt。传输时间取决于每次读写的字节数b 和磁盘的旋转速度,即

式中,r为转速;N 为一个磁道上的字节数。
总平均存取时间Ta可以表示为

虽然这里给出了总平均存取时间的公式,但是这个平均值是没有太大实际意义的,因为在实际的磁盘I/O操作中,存取时间与磁盘调度算法密切相关。调度算法直接决定寻找时间,从而决定总的存取时间。
无
登录后开始许愿
暂无评论,来抢沙发