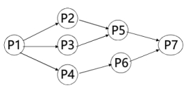
1.前趋图(Precedence Graph),是指一个有向无循环图,可记为 DAG(Directed Acyclic Graph),它用于描述进程之间执行的先后顺序。
图中的每个结点可用来表示一个进程或程序段,乃至一条语句,结点间的有向边则表 示两个结点之间存在的偏序(Partial Order)或前趋关系(Precedence Relation)。(前趋图中是不允许有循环的,否则必然会产生不可能实现的前趋关系。)
若 (Pi,Pj) ∈→,可以写成Pi→Pj,则称Pi是Pj的直接前驱,Pj是Pi的直接后继。若存在一个序列Pi→Pj…→Pk,则称Pi是Pk的前驱(即前驱具有传递性)。在前趋图中,没有前驱的结点称为初始结点,没有后继的结点称为终止结点。

具有七个结点的前趋图
2.程序顺序执行
一个应用程序由若干个程序段组成,每一个程序段完成特定的功能,它们在执行时,都需要按照某种先后次序顺序执行,仅当前一程序段执行完后,才运行后一程序段。 在进行计算时,应先运行输入程序,用于输入用户的程序和数据;然后运行计算程序, 对所输入的数据进行计算;最后是运行打印程序,打印计算结果。
3.程序的顺序执行时的特征:
①顺序性:指处理机严格地按照程序所规定的顺序执行,即每一操作必须在下一个操作开始之前结束;
②封闭性:指程序在封闭的环境下运行,即程序运行时独占全机资源,资源的状态(除初始状态外)只有本程序才能改变它,程序一旦开始执行,其执行结果不受外界因素影响;
③可再现性:指只要程序执行时的环境和初始条件相同,当程序重复执行时,不论它是从头到尾不停顿地执行,还是“停停走走”地执行,都可获得相同的结果。
4.程序的并发执行
程序的并发执行是指若干个程序(或程序段)同时在系统中运行,这些程序(或程序段)的执行在时间上是重叠的,即一个程序(或程序段)的执行尚未结束,另一个程序(或程序段)的执行已经开始。
5.程序并发执行时的特征:
①间断性:程序在并发执行时,由于它们共享资源,或为完成同一项任务而相互合作,致使并发程序之间形成了相互制约关系。
②失去封闭性:当系统中存在着多个可以并发执行的程序时,系统中的各种资源将为它们所共享,而这些资源的状态也由这些程序来改变,致使其中任一程序在运行时,其环境都必然会受到其它程序的影响。
③不可再现性:程序并发执行时,由于失去了封闭性,也将导致失去其运行结果的可再现性。
1.进程的定义
在多道程序环境下,允许多个程序并发执行,此时它们将失去封闭性,并具有间断性及不可再现性的特征。为了能使程序并发执行,并且可以对并发执行的程序加以描述和控制,人们引入了“进程”的概念。
为了使参与并发执行的程序(含数据)能独立地运行,必须为之配置一个专门的数据结构,称为进程控制块(Process Control Block,PGB)。系统利用PCB来描述进程的基本情况和运行状态,进而控制和管理进程。相应地,由程序段、相关数据段和PCB三部分便构成了进程实体(又称进程映像)。所谓创建进程,实质上是创建进程实体中的PCB;而撤销进程,实...
无
登录后开始许愿
加油加油